康比電子roducts
國產晶振
臺產晶振
進口晶振
- 日本大真空晶振
- 愛普生晶振
- 精工晶振
- 西鐵城晶振
- 村田晶振
- 進口KSS晶振
- NDK晶振
- 大河石英晶振
- 美國CTS晶振
- 微晶晶振
- Abracon晶振
- ECS晶振
- Golledge晶振
- IDT晶振
- Jauch晶振
- Pletronics晶振
- 拉隆晶振
- SiTime晶振
- Statek晶振
- 格林雷晶振
- 康納溫菲爾德晶振
- 日蝕晶振
- 瑞康晶振
- 維管晶振
- AEK晶振
- AEL晶振
- Cardinal晶振
- Crystek晶振
- Euroquartz晶振
- FOX晶振
- Frequency晶振
- Geyer晶振
- KVG晶振
- ILSI晶振
- MERCURY晶振
- MMDCOMP晶振
- MtronPTI晶振
- QANTEK晶振
- QuartzCom晶振
- Quarztechnik晶振
- Suntsu晶振
- Transko晶振
- Wi2Wi晶振
- Fujicom晶振
- Interquip晶振
- ITTI晶振
- Lihom晶振
- MTI晶振
- NAKA晶振
- Oscilent晶振
- PDI晶振
- Rubyquartz晶振
- Shinsung晶振
- SMI晶振
- CTECH晶振
- IQD晶振
- Microchip晶振
- NJR晶振
- Silicon晶振
- Anderson晶振
- Fortiming晶振
- CORE晶振
- NIPPON晶振
- NICKC晶振
- QVS晶振
- Bomar晶振
- Bliley晶振
- GED晶振
- FILTRONETICS晶振
- STD晶振
- Q-Tech晶振
- Wenzel晶振
- NEL晶振
- EM晶振
- PETERMANN晶振
- FCD-Tech晶振
- HEC晶振
- FMI晶振
- Macrobizes晶振
- AXTAL晶振
- Sunny晶振
- 瑞薩Renesas晶振
- SKYWORKS晶振
車載電子
數碼電子
智能家居
時計產品
無線網絡
智能穿戴
醫療器械
無人機
0755-27876201
常見問題
更多>>.jpg)
CSX-325T晶振,日本進口石英晶體振蕩器,晶振價格貼片式石英晶體振蕩器,“CSX325T13.000M2-UT10”低電壓啟動功率,并且有多種電壓供選擇,比如有1.8V,2.5V,3.3V,3.8V,5V等,產品被廣泛應用于,平板筆記本,GPS系統,光纖通道,千兆以太網,串行ATA,串行連接SCSI,PCI-Express的SDH / SONET發射基站等領域.符合RoHS/無鉛.
.jpg)
項目 | 模型 | CSX-325T | 條件 |
標準頻率 | fo | 13.0~52.0MHZ | |
電壓 | ppm | 1.8V 2.5V 3.3V 5V或指定 | at25℃ |
負載電容 | CL | 12.5pf或指定 | |
工作溫度范圍 | TopR | -20℃~+75℃ | |
儲存溫度范圍 | TsTR | -40℃~+85℃ | |
變曲點溫度 | TM | 25℃±5℃ | |
溫度系數 | β | -0.034±0.006ppm/℃² | |
動態電阻 | R1 | 35KΩ Max 40KΩ Max 50KΩ Max | at25℃ |
激勵電平 | DL | 1μW Max | |
老化率 | △f/fo | ±3ppm Max ±5ppm Max | 25℃±3℃ |
并聯電容 | Co | 1.2PF Typ 1.0Typ |
.jpg)
.jpg)
.jpg)
等效串聯阻抗 ( Equivalent Series Resistance , ESR)
當石英晶體串聯振蕩在fs時, C1及L1是相反相位而互相抵消, “CSX325T13.000M2-UT10”整個共振子的動態支臂(motional arm) 的導納(admittance)是接近最小阻抗值R1. 這時候整個石英晶體共振子的表現僅是一個電阻性的組件. 電阻值R1是整個組件的機械性能量損耗. 其中包含了石英材料, 接著材料及封裝材料上所有的能量損耗.
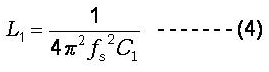
(6) 動態電容( Motional Capacitance C1 ) 及動態電感( Motional Inductance L1 )在實際的量測系統中, 我們祇能量測到動態電容C1及串聯協振頻率fs . 動態電感L1是由公式(4)計算得到..png)
.png)
.jpg)


1、技術支持:全方位技術指導,專業的技術支持讓您感受到前所未有的后顧無憂.
2、客服咨詢:專業的銷售團隊,耐心為您解答任何疑問,讓您的消費得到保障.
3、質量保證,誠信為本,上我司以“以科技為動力,以質量求生存,”為理念.
4、提升業績,降低成本為您的產品量身訂制,免費取樣,為您做到低成本,高效率.
2、客服咨詢:專業的銷售團隊,耐心為您解答任何疑問,讓您的消費得到保障.
3、質量保證,誠信為本,上我司以“以科技為動力,以質量求生存,”為理念.
4、提升業績,降低成本為您的產品量身訂制,免費取樣,為您做到低成本,高效率.

.jpg)
康比電子聯系方式:
Q Q: 577541227
電 話:0755-27876201
手 機: 13728742863
Email: kangbidz@163.com
網 址: http://www.siliconsi.com/
地 址: 廣東省深圳市寶安區41區33棟6層
Q Q: 577541227
電 話:0755-27876201
手 機: 13728742863
Email: kangbidz@163.com
網 址: http://www.siliconsi.com/
地 址: 廣東省深圳市寶安區41區33棟6層